ChatGPTをはじめとする生成AIの登場により、ビジネスの現場は劇的な変化を遂げました。しかし、実際に導入してはみたものの「期待したような回答が得られない」「指示出しに時間がかかってしまう」と悩んでいる方も多いのではないでしょうか。
その原因の多くは、ChatGPTへの指示文である「プロンプト」の書き方にあります。ChatGPTの能力を最大限に引き出すには、適切な指示の出し方を理解することが不可欠です。
この記事では、初心者でもすぐに実践できるプロンプトの基本から、回答精度を高める最新の裏技、そしてビジネスですぐに使えるテンプレートまでを完全解説します。ChatGPTをもっと効果的に使いこなしたい方は、ぜひ本記事を参考にしてみてください。
ChatGPTのプロンプトとは?基本をおさらい

ChatGPTにおける「プロンプト」とは、ユーザーが入力する「指示」や「質問」のテキスト全般のことです。ChatGPTはプロンプトからユーザーの求めているものを理解し、回答を生成します。なお、このプロンプトを設計・最適化する技術を「プロンプトエンジニアリング」と呼びます。
曖昧な指示では部下が動けないのと同様に、ChatGPTも曖昧なプロンプトでは的確な回答を返すことはできません。まずはプロンプトが持つ役割と、精度の高い回答を引き出すための基本的な構成要素について理解を深めましょう。
プロンプトの役割
ChatGPTは膨大なデータセットを持っていますが、文脈なしに「最適な答え」を自ら選び取ることはできません。プロンプトの最大の役割は、ChatGPTに対して以下の2つを明確に伝えることです。
・タスクのゴール:最終的にどのような成果が欲しいのか
・制約条件:生成を実行するうえで守るべきルールは何か
例えば「メールを書いて」とだけ伝えても、ChatGPTは「誰宛てか」「謝罪なのか営業なのか」が分からず、一般的な回答しかできなくなってしまいます。プロンプトによって前提条件や背景を与えることで、ChatGPTの思考の範囲が限定され、ユーザーの意図に沿った回答へと導くことが可能です。
プロンプトの構成要素
ChatGPTの回答精度が安定しないと感じる場合、プロンプトに必要な情報が欠けている可能性があります。高品質な回答を得るためには、以下の5つの要素を意識してプロンプトを構成するのが重要です。
| ① 役割(Who): ChatGPTにどのような立場で回答してほしいかを指定する(例:あなたはプロのマーケターです) ② 目的(Why): なぜそのタスクを行うのか、背景や狙いを伝える(例:新商品の認知拡大のため) ③ 前提・条件(Context): ターゲット読者や現状の課題など、踏まえるべき情報を共有する ④ 指示内容(What): 具体的に行ってほしいアクションを記述する(例:キャッチコピーを10案作成して) ⑤ 出力形式(How): 回答をどのような形式で出してほしいかを指定する(例:表形式で、箇条書きで) |
これら5つを網羅したプロンプトを構築すれば、ChatGPTがタスク実行時に迷ってしまうことがなくなり、望む回答が得られやすくなるはずです。
ChatGPT プロンプトの書き方|基本の考え方とコツ

ChatGPTから質の高い回答を引き出すためには、いくつかの「コツ」が存在します。これらは決して難しいテクニックではなく、人間相手に業務指示を出す際のマナーや注意点とほぼ同様です。
ここでは、プロンプトを作成する際に意識すべき基本的な考え方と、すぐに実践できる具体的なポイントを紹介します。これらに気を付けるだけで、ChatGPTとの対話は驚くほどスムーズになることでしょう。
指示や要求を明確にする
ChatGPTへの指示は、具体的であればあるほど精度が向上します。ChatGPTには文脈を推測する力があるものの、情報が少ない場合その推測がユーザーの意図と合致するとは限りません。「いい感じにまとめて」や「適当に書いて」といった曖昧な表現は避けましょう。
「300文字以内で、重要なポイントを3つ箇条書きにして要約して」といったように、数値や具体的なアクションを含めた明確な指示を出すようにしてください。「教えて」を「比較表を作成して」にするなど、動詞を分かりやすくするのもポイントです。
短くシンプルな文章を心がける
プロンプトは、主語と述語の関係を明確にし、修飾語を使いすぎないシンプルな文章を心がけてください。一文が長く複雑になるほど、ChatGPTが解釈を誤るリスクが高まります。
もし指示が複雑になる場合は、文章を区切ったり、箇条書きを用いたりして視認性を高めましょう。人間にとって読みやすい文章は、ChatGPTが見たときにも誤解が生じにくくなります。意思を正確に伝えるようにしてください。
参考・補足情報を与える
ChatGPTにゼロから考えさせるのではなく、参考となるテキストやデータを与えることで、回答の質は格段に上がります。これを「Few-Shot プロンプティング」と呼び、求める成果を効率よく手に入れるうえで非常に重要です。
例えば、プレスリリース時に「この製品のリリース記事を作成して」と指示するだけでなく、過去の自社のプレスリリース例を貼り付けて「以下の文体を参考に」と付記するイメージです。
見本があることで、ChatGPTはユーザーが求めるトーン&マナーや構成を理解しやすくなるため、アウトプットの質が格段に向上します。
前提・条件を書く
プロンプトの中でも「前提」と「条件」は特に意識しておく必要があります。ここを省くと、意図していたものとは違う出力結果になってしまいがちです。ChatGPTは、ユーザーの頭の中にある「当たり前」を知らないという点に留意してください。
あらかじめプロンプトに入れておきたい条件の例は以下の通りです。
・想定読者: 年齢、職種、知識レベル(例:ITに詳しくない高齢者向け)
・文字数: およその目安(例:1000文字程度)
・トーン: 文体の雰囲気(例:フォーマル、親しみやすい、断定的)
具体度が高まるほど、当然ながらChatGPTは回答の方向性を絞り込めるようになっていきます。漫然と利用し始める前に、まずは前提・条件の整理から始めた方が効率的でしょう。
抽象語・専門用語は控える
業界特有の専門用語や社内用語は、一般的な意味とは異なるニュアンスで使われることが多く、ChatGPTが正しく理解できない場合があります。可能な限り一般的な言葉に言い換えるか、その用語の定義をプロンプト内で説明するようにしましょう。
また「短めにまとめて」「なるべく多く」といった抽象的な言葉も、ChatGPTにとっては判断が難しい要素です。先述した「指示を明確にする」点にも繋がってきますが「200文字以内で」「10個以上」等の客観的な指標に置き換えると、認識のズレを防ぐことができます。
対話で精度を高める
一回の入力だけでは、想像通りの完璧な回答はほぼ得られません。最初の回答がイマイチでも諦めず「もう少し具体例を増やして」「トーンをもっと明るくして」といったフィードバックを行い、何度か対話を繰り返して情報を引き出すことが大切です。
ChatGPT(GPT 5.2)は数十万トークンという広いコンテキストウィンドウ*で文脈もしっかり記憶しているため、修正指示を重ねることで徐々に理想の回答へと近づいていきます。対話によって回答を洗練させるプロセスも、生成AI活用の醍醐味です。
*コンテキストウィンドウ…AI(大規模言語モデル)が一度に処理・記憶できるテキスト量をトークン単位で表したもの。日本語1文字は1〜3トークン程度。
出力形式を指定する
回答の見た目やフォーマットを指定することも、業務効率化の重要なポイントです。例えば、以下のような指示の仕方が挙げられます。
・リスト形式で回答が欲しい場合→「箇条書きで出力して」
・回答をスプレッドシートにそのまま流用したい場合→「CSV形式で出力して」
出力形式を指定する際には、後に人間が行う加工作業も考慮して指示を出すといいでしょう。表データが欲しいのであれば「列は『項目』『内容』『備考』の順にして」といったように指定しておくと、修正の手間が省けて工数削減につながります。
初心者のうちは型・テンプレートの利用がおすすめ

プロンプトエンジニアリングの様々なテクニックを活用しつつ、毎回ゼロから指示文を構成するというのは容易ではありません。また自己流で作成してしまうと、AIへの指示に必要な要素が抜け落ちてしまい、期待通りの回答が得られないことも多々あります。
そこで初心者のうちは、先人たちが開発した「決まった型」や「テンプレート」を利用することを強くおすすめします。型を活用すべき主な理由は、次の3点です。
・必要な情報の抜け漏れを防げる
前提条件や制約事項など、プロンプトに含めるべき必須要素を漏らさずに網羅できるため、意図しない回答が返ってくるリスクを減らせる
・論理的な指示で精度が安定する
型に沿って入力することで、自然とAIが理解しやすい論理的な構造にすることが可能。AIへの指示が明確になり、回答の精度が安定する
・プロンプト作成の時間を短縮できる
毎回構成を考える必要がなく、空欄を埋めるような感覚で作成可能。業務効率が大幅に向上し、コア業務に集中できる
型に当てはめることで、誰でも一定以上のクオリティの回答を得られるようになるでしょう。次章からは、代表的なプロンプトの型や種類について詳しく紹介していきます。
ChatGPTプロンプトの主な種類

先述の通り、プロンプトにはいくつかの「型」「テンプレート」が存在しますが、それらは目的によって用途が異なります。業務内容やタスクに合わせて適切に使い分けることが、ChatGPTで業務を効率化するための近道です。
ここでは、基本となる5つのプロンプトの型について、実際のプロンプト例とともに解説します。それぞれの特徴と使い方を押さえていきましょう。
会話型
まるで人間とチャットしているかのように、自然な文章で質問や指示を投げかける最も基本的な形式です。日常的な相談やブレインストーミングなど、明確な正解がないタスクに向いています。
| 【テンプレート】 [相談したいテーマ]について悩んでいます。 [現状の状況や背景]を踏まえて、[欲しいアドバイスの内容]をいくつか教えてくれませんか? |
| 【プロンプト例(入力例)】 リモートワークでの運動不足について悩んでいます。 マンション暮らしで大きな音が出せない状況を踏まえて、室内で静かにできるおすすめのエクササイズをいくつか教えてくれませんか? |
指示型(Instruction Prompt)
「〇〇してください」と明確な命令を下す形式です。翻訳、要約、添削など、具体的な処理を依頼する場合に適しています。対象となるテキストと命令を明確に分けるのがコツです。
| 【テンプレート】 以下の[対象テキスト]を、[具体的な指示内容]してください。 [対象テキスト]※ここに入力 |
| 【プロンプト例(入力例)】 以下の文章を、小学生でもわかるように簡単な言葉で要約してください。 量子コンピュータは、量子力学の原理である重ね合わせや量子もつれを利用して計算を行うコンピュータである。従来の古典コンピュータが0か1かのビットを用いるのに対し、量子ビットを用いることで膨大な計算パターンを並列処理できる。 |
役割指定型(Role Prompt)
ChatGPTに特定の役割(ロール)を演じさせ、回答の質や視点をコントロールする手法です。「あなたは〇〇です」と定義することで、その道のプロフェッショナルとしての専門的な回答を引き出せます。
| 【テンプレート】 あなたはプロの[役割]です。 [ターゲット]に対して、[依頼内容]をアドバイスしてください。 |
| 【プロンプト例(入力例)】 あなたはプロのキャリアコンサルタントです。 30代未経験からエンジニアへの転職を目指す私に対して、面接でアピールすべきポイントと注意点をアドバイスしてください。 |
条件指定型(Constraint Prompt)
回答に対して具体的な制約条件を設ける形式です。文字数、文体、含めるべき要素などを詳細に指定することで再修正の手間を減らし、求めている形式の回答に素早くたどり着けます。
| 【テンプレート】 [依頼内容]を作成してください。 #制約条件 ・文字数:[〇〇文字以内] ・含めるキーワード:[キーワード1]、[キーワード2] ・ターゲット:[ターゲット層] ・出力数:[〇〇案] |
| 【プロンプト例(入力例)】 新商品の炭酸飲料のキャッチコピーを作成してください。 #制約条件 ・文字数:20文字以内 ・含めるキーワード:「爽快感」「夏」 ・ターゲット:20代の男性会社員 ・出力数:5案 |
ステップ分解型(Step-by-Step Prompt)
複雑なタスクを一度に依頼せず、手順を追って段階的に処理させる手法です。「ステップバイステップで考えて」という言葉(Chain of Thought プロンプティング*)を加えるだけで、ChatGPTの論理的思考力が向上し、計算ミスや論理破綻を防ぐ効果があります。
*Chain of Thought プロンプティング…問題を解決する際の思考過程を段階的に生成させ、理解度を深める手法
| 【テンプレート】 以下の[問題や課題]を、ステップバイステップで順を追って解いてください。 [ここに問題を詳しく入力] |
| 【プロンプト例(入力例)】 以下の問題を、ステップバイステップで順を追って解いてください。 1個150円のリンゴを3個と、1個80円のミカンを5個買いました。この合計金額に対して10%の消費税がかかります。支払う総額はいくらですか?計算過程も示してください。 |
ChatGPTプロンプトの上級者向けテンプレ

基本の型に慣れてきたら、より高度なテンプレートを活用してみましょう。内容はやや難しくなりますが、ChatGPTからより質の高いアウトプットを引き出すうえでとても有用なフレームワークです。
深津式プロンプト
note株式会社CXOの深津貴之氏が考案したフレームワークです。プロンプトを「役割」「制約条件」「入力文」「出力文」といったセクションに区切って構築するのが特徴で、ChatGPTの誤読を防ぎ、より精度の高い回答を引き出すことができます。
また深津式プロンプトには「情報が足りない場合は逆質問をしてください」という指示を追加した「深津式プロンプト2.0」も存在します。あらかじめ用意した制約条件が足りないと感じる場合や、より複雑な判断が必要なタスクでは、こちらを使用するのもいいでしょう。
| 【テンプレート】 #命令書あなたは[役割]です。 以下の[制約条件]に従って、[入力文]をもとに[求める成果物]を作成してください。 #背景[依頼の目的・背景] #制約条件 ・文字数は[〇〇]文字程度 ・[〇〇]というトーンで ・[その他の条件] #入力文[参照すべき元の文章があればここに入力] #出力フォーマット[何を・どんな形で出力してほしいか入力] #出力プロセス[生成に際して意識してほしい点、踏むべき手順を入力] |
| 【プロンプト例(入力例)】 #命令書あなたはプロの編集者です。 以下の[制約条件]に従って、[入力文]をもとにブログ記事のタイトルを作成してください。 #制約条件 ・対策KWは「リモートワーク ストレッチ」 ・読者がクリックしたくなるような魅力的なタイトルにする ・30文字以内 ・3案作成する ・情報が足りない場合は逆質問する #入力文今回の記事は、リモートワークで運動不足に悩む人に向けて、自宅でできる簡単なストレッチを紹介する内容です。ターゲットは30代のデスクワーカーです。 #出力フォーマット ・ブログ記事タイトル ・リスト形式 #出力プロセス ・該当KWをGoogleで検索 ・上位10位までに表示されている記事のタイトルを調査・分析 |
ゴールシークプロンプト
「ゴール(目的)」だけを提示し、そのために必要なプロンプトをChatGPT自身に考えさせる手法です。AI起業家のハヤシシュンスケ氏が考案したもので、その名にちなんで「シュンスケ式プロンプト」とも呼ばれます。
ユーザー自身も「何を指示すればいいか分からない」という場合や、タスクの解像度が低い場合に非常に有効です。ChatGPTと対話を繰り返しながら、少しずつ内容を詰めていくことができます。
| 【テンプレート】 あなたは[役割]です。 私のゴールは[目的・達成したいこと]です。 このゴールを達成するための最高のプロンプトを作ってください。 そのために必要な情報があれば、私に質問してください。 |
| 【プロンプト例(入力例)】 あなたはプロンプトエンジニアです。 私のゴールは[自社のWEBサイトへのアクセス数を3ヶ月で2倍にすること]です。 このゴールを達成するための最高のプロンプトを作ってください。 そのために必要な情報があれば、私に質問してください。 |
七里式プロンプト
プロンプトエンジニアの七里信一氏が提唱したもので、以下8つの要素をメインに構成されています。
・前提条件
・対象プロファイル(ターゲット)
・参考情報
・名詞、動詞(してほしいこと)
・形容詞(ニュアンス調整)
・出力形式
・出力フォーマット
・スタイル(語調)
これに加え、必要に応じて逆質問等の「追加指示」も盛り込み、プロンプトを徹底的に構造化する手法です。その要素数から「8+1の公式」とも呼ばれています。詳細な指示が可能なため、長文の執筆や、複雑な条件分岐が必要な業務フローの自動化などにおすすめです。
| 【テンプレート】 #前提条件[どのような状況や背景か] #対象プロファイル[誰に向けたものか] #参考情報[参考にするデータやURL] #名詞、動詞[何をすべきか(依頼内容)] #形容詞[どのような内容にするか(例:カジュアルな、論理的な)] #出力形式[テキスト、表、コードなど] #出力フォーマット[見出し構成やカラム名など具体的な構造] #スタイル[文体やトーン(例:親しみやすく、ビジネスライクに)] #追加指示[不足情報があれば質問してください / 段階的に出力してください] |
| 【プロンプト例(入力例)】 #前提条件新卒採用のエントリー数が昨年比で減少しており、早急に対策を講じる必要があります。 #対象プロファイルIT業界に興味があるが、プログラミング未経験の文系大学生 #参考情報自社の強み:充実した研修制度、文系出身の先輩社員が多数活躍中 #名詞、動詞学生の興味を惹くスカウトメールの文面を作成してください。 #形容詞不安を取り除き、挑戦したくなるような #出力形式テキスト #出力フォーマット件名:本文: #スタイルポジティブで熱意があり、かつ失礼のない丁寧なトーン #追加指示より効果的な文面にするために必要な情報があれば、作成前に私に質問してください。 |
ChatGPTの回答精度を上げるプロンプトの裏技【2026年最新研究】

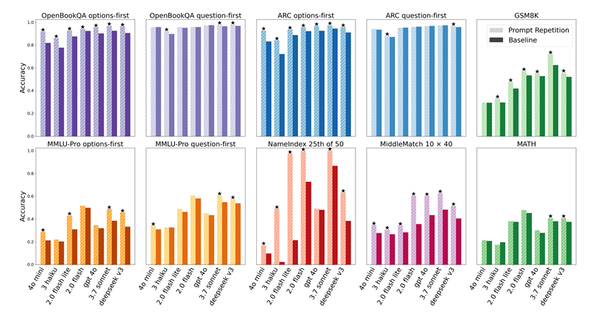
これまでプロンプトエンジニアリングでは「いかに詳細に条件を書くか」が重視されてきました。しかし2025年12月発表のGoogle最新研究で「同じ質問を2回繰り返す(Prompt Repetition)だけで回答精度が向上する」という裏技的なテクニックが明らかになりました。
例えば「〇〇について教えて」と入力するのではなく「〇〇について教えて。〇〇について教えて」と続ける形です。推論を用いない設定の各言語モデルにおいては、入力を繰り返した場合と繰り返さなかった場合を比較した結果、全70条件中47条件で有意性が見られたとしています。
以下は、ChatGPTを含む7つの言語モデルで、主要なベンチマーク7種を測定した際のデータです。色の薄い方の棒グラフが「繰り返しあり」の数値で、大半のパターンで通常よりもスコアが上がっている(星印がついている)ことが確認できます。

出典:Google|Prompt Repetition Improves Non-Reasoning LLMs
特別なプロンプトを考える必要なく、ただ同じ文言を繰り返すだけという非常にシンプルな手法です。Google公式研究ということもあって信憑性も確かなので、ChatGPTを使っていて「出力精度が安定しないな」と感じた場合には、ぜひ活用してみてください。
ただし、入力文が極端に長くなる場合、処理負荷が増えて応答時間に遅れが生じるといった事象も報告されています。長文での使用はなるべく避け、短い質問や、どうしても間違えてほしくない重要な命令を行う際など、用途を絞った方がいいでしょう。
参考:Google|Prompt Repetition Improves Non-Reasoning LLMs
ChatGPTのビジネス活用で使えるプロンプト例【コピペ可】

ここからは、実際のビジネスシーンで活用できる具体的なプロンプトテンプレートを紹介します。一部書き換えるだけですぐ業務に取り入れることができますので、ぜひご自身の用途に合わせてカスタマイズしてご利用ください。
メール文作成
取引先との打合せの日程調整など、気を遣うメール作成はChatGPTの得意分野です。状況や相手との関係性を入力することで、失礼のない適切な文面を素早く作成できます。
| 【プロンプト例】あなたはプロの秘書です。以下の条件をもとに、取引先へのメール文面を作成してください。 #条件 ・相手:株式会社〇〇 営業部 △△様 ・件名:打ち合わせ日程調整のお願い ・内容:来週の新商品プロジェクトの打合せ日程を決めたい ・候補日時:5月10日(月) 14:00〜16:00、5月11日(火) 10:00〜12:00 ・トーン:丁寧かつ簡潔に ・こちらの都合で申し訳ないが、オンライン(Zoom)での開催を希望する旨を含める |
議事録の作成
会議の録音データやメモ書きを議事録に起こす作業は、頻発でありながら手間のかかる業務です。ChatGPTに依頼すれば、決定事項や次のアクションプランが明確になった議事録を短時間で仕上げてくれるため、会議後の動き出しがスムーズになります。
| 【プロンプト例】以下の会議メモをもとに、分かりやすい議事録を作成してください。 #会議メモ[ここに会議のメモや書き起こしテキストを貼り付け] #出力フォーマット ・日時: ・参加者: ・決定事項: ・ToDo(担当者・期限): ・次回予定: |
ファイル・文章の要約
長いレポートやニュース記事、マニュアルなどを短時間で理解したい時にも、ChatGPTは非常に便利です。要点を箇条書きで抽出させることで、情報の全体像を瞬時に把握できます。
| 【プロンプト例】以下の文章を要約してください。忙しいビジネスマンが1分で内容を理解できるようにまとめてください。 #対象の文章[ここに要約したい文章を貼り付け] #制約条件 ・300文字以内 ・重要なポイントを3つ箇条書きにする ・専門用語には簡単な補足を付ける |
文章の添削
日報や提案書等、日々の業務の中で文章を書く機会は多いことでしょう。内容のブラッシュアップを図りたい場合には、ChatGPTに添削を依頼してみてください。誤字脱字のチェックだけでなく、説得力を高めるための言い回し等も提案してくれます。
| 【プロンプト例】 あなたはプロの編集者です。以下の文章を、上司に提出する報告書として適切なビジネス表現にリライトしてください。 #修正のポイント ・誤字脱字を修正する ・稚拙な表現を改める ・結論から述べる構成にする #元の文章[ここに自分で書いた文章を貼り付け] |
施策のアイデア出し
新しい企画・マーケティング施策の立案等で行き詰まった際、ブレインストーミングの壁打ち相手として活用するのもおすすめの使い方です。自分では思いつかないような切り口のアイデアを迅速かつ大量に出してもらえるため、検討の効率がグッと高まります。
| 【プロンプト例】20代女性をターゲットにした新しいカフェの集客アイデアを10個出してください。 #条件 ・SNSを活用した施策を中心に ・あまりコストがかからないもの ・ユニークで話題になりやすいもの ・それぞれのアイデアに、期待できる効果を一言添える |
売上・集客アップの近道!マーケ担当者のための無料プロンプト集

前章では、一般的なビジネスシーンで役立つプロンプトを中心に紹介してきました。しかしマーケティング担当者の方であれば、より専門的なタスクでの活用方法も気になることでしょう。
ここからは、SEOや広告運用の成果に直結する、マーケ担当者向けプロンプトをまとめたホワイトペーパーをご紹介します。いずれも無料でダウンロードいただけますので、日々の施策精度を高めるための武器として、ぜひご活用ください。
SEO改善の仮説を立てるChatGPTプロンプト5選

SEO対策に取り組んでいるものの、なかなか検索順位が上がらず悩んでいる方は多いはずです。その原因の多くは、ユーザーの「検索意図」と「ページ内容」のズレにあります。
しかし、自分の記事を客観的に分析してズレを見つけるのはなかなか難しいでしょう。そこでおすすめなのが、ChatGPTをSEOコンサルタントとして活用する方法をまとめたホワイトペーパー「SEO改善の仮説を立てるChatGPTプロンプト5選」です。
本資料には、下記のようなプロンプトテンプレートが含まれています。
・検索意図とのズレを診断できるプロンプト
・不足しているコンテンツを抽出できるプロンプト
・独自性を強化するためのポイントを発見できるプロンプト etc…
即座に改善アクションを起こせる具体的なものが揃っていますので、活用いただくことで効率よくメディアを改善していけるはずです。SEO記事の品質を一段階引き上げたい方は、ぜひダウンロードして試してみてください。
無料ダウンロードはこちら!
広告のターゲット像を具体化するChatGPTプロンプト5選

Web広告の成果が伸び悩む原因としては「ターゲティングの甘さ」が挙げられます。「誰に届けたいか」が曖昧なままでは、どれほど良いクリエイティブを作っても響くことはありません。
もし広告の配信効果に課題を感じているなら、ターゲット設定を見直すための資料「広告のターゲット像を具体化するChatGPTプロンプト5選」が役立ちます。商材情報に基づいた具体的なターゲットの選定、商材が向かないターゲットの定義等が容易に実現可能です。
広告代理店へ依頼する前の要件整理や、社内でのプランニング段階等、幅広い場面で有用なプロンプトが揃っています。ChatGPTの力で顧客解像度を高め、無駄のない広告配信を実現しましょう。
無料ダウンロードはこちら!
まとめ

本記事では、ChatGPTのプロンプトの基本的な書き方から、Googleの最新研究に基づく裏技、そしてビジネスで即戦力となる具体的なテンプレートまで徹底解説しました。
プロンプトは、ChatGPTという優秀なパートナーに対する「指示書」です。指示書が曖昧であれば、当然成果物の質は下がってしまいます。一方で指示が明確かつ論理的であれば、ChatGPTは私たちの想像を超えるパフォーマンスを発揮してくれることでしょう。
「役割を与える」「制約条件を明記する」「参考情報を与える」といった基本を押さえつつ、今回紹介した型やテンプレートを積極的に活用してみてください。試行錯誤を繰り返すことで、あなただけの最適なプロンプトが見つかり、業務効率が劇的に改善されるはずです。
あわせて読みたい▼











コメント